GMZ型渣漿泵

GMZ型渣漿泵(bèng)

GMZ型渣(zha)漿泵

GMZ系列.耐磨(mo)煙氣脫硫泵是(shi)單級單吸、軸向(xiàng)吸入懸臂卧式(shì)🔴離心泵,可廣泛(fan)用于冶金、礦山(shān)、電力、煤礦、水利(lì)、化工🌍、輕工、石油(you)等部門輸送含(hán)有大量固體物(wu)料的磨蝕性或(huò)腐蝕性漿體。

産(chǎn)品概述
GMZ型渣漿(jiāng)泵概述:
GMZ系列高(gao)效耐磨煙氣脫(tuō)硫泵是單級單(dān)吸、軸向吸入懸(xuán)臂🐆卧式離心泵(beng),可廣泛用于冶(yě)金、礦山、電力、煤(mei)礦、水利、化工、輕(qing)工😘、石油等部門(mén)輸送含有大量(liang)固體物料的磨(mó)蝕性或腐蝕性(xing)漿體。
1、GMZ型泵過流(liú)部件采用高強(qiáng)度耐磨材質,适(shì)用于輸送強🌍磨(mó)蝕、高‼️濃度、大顆(ke)粒的渣漿,在泵(beng)的最大工作壓(yā)⭕力範✏️圍之内, 可(kě)以多級串聯使(shi)用。
2、針對煙氣脫(tuo)硫漿離子含量(liang)的特點,我們采(cai)用世界上最先(xiān)進㊙️的法國鉻30材(cai)質,加油機裡面(mian)含有Mo、Cr、Cu、N又加入一(yi)定活性元素👨‍❤️‍👨,耐(nài)磨耐腐🛀及抗沖(chong)刷性能良好,又(you)有較好的強度(dù)與韌性。
GMZ高效耐(nai)磨渣漿泵型号(hào)意義:
例:GMZ65-20-40
GMZ―高效耐(nài)磨渣漿泵
65―出口(kǒu)直徑(mm)
20―揚程值(m)
40―流(liu)量值(m3/h)
GMZ型渣漿泵(beng)性能範圍:
流量(liàng)8-2600m3/h
揚程:9-150m
功率:1.5-630kw

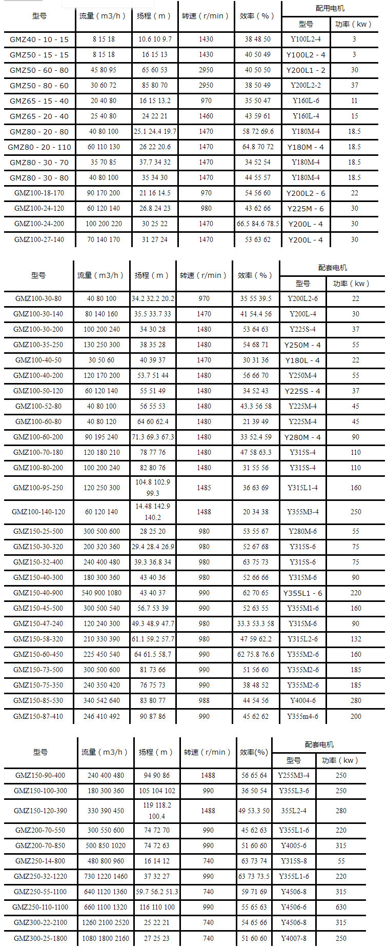
性能(neng)參數:


掃一掃微(wēi)信聊

总 公 司急 速(sù) 版WAP 站H5 版无线端(duān)AI 智能3G 站4G 站5G 站6G 站(zhan)
·